Inicio > Concursos, F5J FAI, Liga FXJ Altímetro > Éxito total: Campeonato de España F5J 2011. Por Javier Iglesias

Éxito total: Campeonato de España F5J 2011. Por Javier Iglesias

imageimageimage

Campeonato de España F5J 2011

Veleros Eléctricos (Altimetro/Temporizador de motor)
Bollullos de la Mitación (Sevilla), 1 y 2 de octubre de 2011.

clip_image002

Salida de una de las mangas

Queridos lectores, estamos ante uno de los Campeonatos de España que más expectación había despertado en los últimos años. Los concursos precedentes auguraban posibles problemas técnicos especialmente en la medición de la altura inicial. El uso de altímetros con un software muy nuevo y no demasiado maduro hacía pensar que podrían darse más incidencias de las normales en un concurso de este tipo.

Estas eran las expectativas pero también sabíamos de la solvencia del Club Radiocontrol Sevilla. Por ello, los concursantes intuíamos que estábamos frente a un concurso que iba a marcar época.

clip_image004

Foto de Grupo

Y así fue. Ha sido un concurso espectacular. En todos los sentidos. Para que se pueda entender mejor iremos directamente a las cifras. Los números explican muy bien lo que sucedió.

· Número de inscritos: 37

· Número de concursantes: 32

· Número de Vuelos: 227

· Siete vuelos puntuaron cero:

o Un concursante desconectó el altímetro después del vuelo y antes de su lectura

o Un concursante desistió de la lectura del altímetro después del vuelo

o Un altímetro se averió en el 1er vuelo

o Cuatro concursantes ‘aterrizaron’ a mas de 75 m del punto asignado

· Un solo concursante se despistó en su vuelo y lo comenzó tarde

· Un solo lanzamiento antes de la señal de tiempo de trabajo

· Un solo choque en vuelo, ninguno de los implicados solicitó re-fly

· Dos penalizaciones por sobrevolar la zona de seguridad

Si leemos estas cifras vemos claramente que no se diferencian en nada de un concurso “típico” de altímetro de altura fija (200m o 30segs). Es más, el número de incidencias ha sido proporcionalmente mucho menor a otros concursos de F5J altímetro. Sólo una incidencia directamente achacable al altímetro y no por fallo de lectura sino por avería del mismo (se estrenaba en el concurso). Es decir que hubo más problemas de servos rotos que de altímetros defectuosos.

A nivel deportivo destacamos sin duda alguna al gran vencedor de este Campeonato de España. D. Richard Frederick dio una clase magistral de vuelos al límite y de “inventarse” la térmica donde no la había. Ganó el campeonato a pesar de haberse despistado y salir ¡¡¡a los 5 minutos de haber salido su grupo!!! Impresionante. El Sábado hizo un vuelo épico al estar a muy baja altura y tener que acercarse mucho a la pista para tomar tierra. Al llegar a la pista fue capaz de girar una pequeña pompa que le permitió llegar a una altura suficiente y hacer 10 minutos. En ese vuelo consiguió ampliar su distancia sobre competidores directos.

clip_image006

Pike Perfect pilotado por Richard Frederick

Pero os vamos a contar en detalle el Campeonato. Empecemos por los vuelos clasificatorios del primer día:

Sábado 1 de Octubre. Vuelos clasificatorios.

El concurso empezó con retraso. Debido a temas logísticos no comenzamos a la hora programada pero hay que decir que vino muy bien. Sobre las 13:00 soplaba un levante de unos 30-35kmh continuos. Eso significaba que los “todo fibra” se planteaban como la m ejor opción y muy probablemente los modelos que coparan todos los buenos puestos.

clip_image008

Reunión Inicial de Pilotos y Jueces

Pero la climatología fue imprevisible y se comportó como nadie esperaba: El viento se paró y en momentos se hizo muy cambiante. Incluso tuvimos pequeños remolinos atravesando el campo.

clip_image010

Un Torbellino detrás de Ramon Rizo

En el siguiente video podéis ver uno de ellos:

http://www.youtube.com/watch?v=HUgyuCJNdH0

Se practicaron diversas tácticas pero las cuatro que más se usaron fueron las siguientes: Volar en el campo recién arado paralelo a la pista (Zona 1). Ahí se generaban térmicas interesantes que a veces no eran muy potentes pero sí continuas. La segunda táctica era volar encima de un pequeño montículo que atraía ciertos vientos y pequeñas burbujas que se formaban encima (Zona 2). Otra táctica que sirvió a muchos participantes era volar encima de los olivos viniendo en vuelo sobre una térmica (Zona 3). La táctica menos usada fue volar a la espalda de la pista y encima de los palmerales y olivos (Zona 4).

clip_image012

clip_image014

En Primer plano Cristian Eugen lanzando su modelo

A nivel de modelos se vio un poco de todo: desde los todo fibra como el Pike Perfect, el Explorer, el Stork, los de estructura con preponderancia de los Pulsar (4000, 3600, 3200 y 2500) y los diseños específicos como los del maestro Coronilla.

La zona de vuelo dependía mucho de la dirección cambiante del viento y de su fuerza ya que a veces obligaba a volar frente al viento haciendo “ochos”.

La temperatura fue muy alta marcando los 42º C. Eso hizo mella en los pilotos.

clip_image016

Marcador Electrónico proporcionado por la Federación Andaluza de Deportes Aereos (FEADA)

Tras los 4 vuelos del sábado los 10 clasificados temporalmente para los fly-off eran los siguientes:

clip_image018

Domingo 2. Vuelos clasificatorios.

Los participantes madrugaron bastante a pesar de la “paliza” que el sol nos dio el día anterior. Con un despliegue de medios importante.

clip_image020

Montaje Matutino

La clasificación no varió en exceso y de los 10 candidatos a finales del día anterior se mantuvieron 7. Antonio Coronilla (actual Campeón de España F5J batería de 50grs) dió la sorpresa y no pudo remontar para clasificarse para las finales. Otro participante que se quedó fuera, por la rotura de su modelo principal (al perder el control de radio) fue José F. Martin Lorente.

clip_image022

Vuelos Clasificatorios Segundo Día

Los participantes aprendieron mucho de lo sucedido el día anterior y casi todos los participantes afinaron los modelos. Se hicieron los 2 vuelos clasificatorios restantes.

clip_image024

Finalmente se clasificaron los siguientes pilotos para hacer los 4 vuelos de 15 minutos del fly-off.

clip_image026

Ramón Rizo y Richard Frederick charlan distendidamente esperando el Fly-off

clip_image028

clip_image030

Los Finalistas

La final fue apasionante y hasta el ultimo vuelo no se decidió el podium.

Ramón Rizo ganó el primer Fly-off en dura pugna con Pedro Millán y Pedro Pérez. En el segundo Fly-off Richard Frederick arrasó y sacó casi 600 puntos al segundo clasificado en ese vuelo. En el Tercero, Pedro Millán le ganó por la mano a todos y sólo Ricardo Calvo pudo acercarse a 264 puntos FAI. En el cuarto Fly-off se decidió todo. Richard Frederick y Angel Cristóbal pusieron tierra de por medio y volando en la inhóspita Zona 4, le sacaron 700 puntos al tercer clasificado.

Como dijimos al comienzo del artículo, Richard Frederick obtuvo una victoria sobresaliente en los Fly-off mientras que Angel Cristobal y Pedro Millán tuvieron una muy dura pugna por el segundo y tercer puesto. La balanza se decantó hacia Angel por 1,5 puntos FAI. Pedro Millán con su “matafibras” estuvo muy cerca de la victoria y solamente un cuarto vuelo espectacular de sus rivales, pudo privarle del Campeonato.

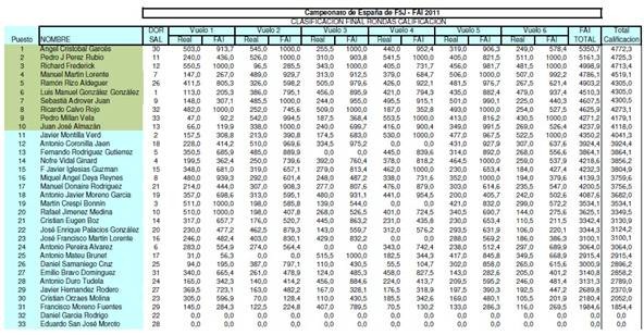
La clasificación final fue la siguiente:

clip_image032

Y los detalles del Fly-off:

clip_image034

Enhorabuena a los ganadores. Han dado espectáculo y se han batido el cobre con un conjunto de pilotos de primera magnitud.

clip_image036Tercer Puesto: Pedro Millán

clip_image038Segundo Puesto: Angel Cristóbal

clip_image040

Primer Puesto: Richard Frederick

clip_image042

Los Tres Ganadores

Destacar que hubo fuerte presencia de equipos como el mallorquín, el sevillano, el madrileño, etc. Aunque no se trata de una competición por equipos, se vieron algunas estrategias de conjunto muy interesantes.

clip_image044

Equipo Mallorquín

Conclusiones

Estamos ante una fórmula apasionante. El sistema de altura variable introduce una variabilidad mayor en las puntuaciones y no se deciden los vuelos en el aterrizaje sino en el tiempo de vuelo y los metros de altitud de partida.

Se trata de una fórmula que no es demasiado sencilla para realizar por parte de un club medio, pero para este tipo de campeonatos es muy muy atractiva. El Club Radio Control Sevilla ha dado una lección de organización y buen hacer.

Los flyoff de 15 minutos son espectaculares, los pilotos que hacen los 15 minutos en vuelo demuestran que no se trata de una casualidad, sino de auténticos expertos. Se disfrutó de verdad en esa fase.

clip_image046

Cruzcampo patrocinador oficial

clip_image048

Magnífica labor de la Directora del Concurso junto con sus auxiliares. Conjuntaron simpatía con precisión y rigurosidad.

  1. Avatar de Juan Perez
    Juan Perez
    5 octubre, 2011 a las 9:12 am

    Un bonito reportaje y ya me esperaba que los amigos de Sevilla realizaran un concurso fantastico y bien organizado. La suerte de contar con gente asi es garantia de ello.
    Un abrazo a la comunidad de vuelo a vela

  2. Avatar de Rui Silva
    Rui Silva
    5 octubre, 2011 a las 10:10 am

    Reportagem excelente, pena as fotos não se verem melhor.

    Parabéns ao Club RC de Sevilla e aos pilotos, 42ºC é demais!

    Parabéns ainda ao Richard, well done!

    Saludos,

    Rui Silva

  3. Avatar de Ramón Rizo
    Ramón Rizo
    5 octubre, 2011 a las 1:43 pm

    Tuve la suerte de poder asistir y lo pasamos estupendamente, el articulo permite revivir lo bien que funcionaron las cosas. Gracias Javier.
    Sin el buen hacer de la organización, el club rRC Sevilla y todas las personas que han posibilitado la realización, esto no hubiera sido posible. Enhorabuena a los que asumieron organizar el primer Campeonato de España de F5J Altimetro porque habéis tenido un gran éxito.
    Enhorabuena a los tres campeones, Richard en especial, absolutamente merecedores de ello.
    Un abrazo y buenos vuelos!
    Ramón

  4. Avatar de Juan Ramos
    Juan Ramos
    5 octubre, 2011 a las 6:11 pm

    Javier, muchas gracias por el reportaje. No pude estar alli y esperaba ansioso leer vuestros comentarios. Pero mis espectativas se han visto sobrepasadas por la magnífica redacción, las estupendas fotos, el análisis certero, la foto con el diagrama, el vídeo. Estupendo artículo.
    Leo con muchísima alegría el éxito de organización, ¡Felicidades Luis Manuel, a ti y a tu organización!, no han podido con vosotros, tu gloria crece, puedes disfrutar después de tanto trabajo bien hecho.
    Esta modalidad de altímetro es muy entretenida, nos permite seguir disfrutando de lo que más nos gusta, los buenos vuelos y la buena compañía.
    Enhorabuena a todos por participantes, han tenido la suerte de estar en un magnífico concurso, especialmente a Richard, un estupendo competidor y mejor amigo.
    Juan

  5. Avatar de Dale
    Dale
    5 octubre, 2011 a las 7:35 pm

    Totally awesome!! Enhorabuena Rich!! Eres un campeon!

  6. Avatar de Richard
    Richard
    6 octubre, 2011 a las 8:26 am

    Quisiera dar la gracias a todo el mundo. Ha sido un placer competir en este magnífico concurso, pero mejor ha sido estar y volar con amigos, con los que ya tenía, y con los nuevos que he hecho. Quisiera también destacar la ayuda de los que se han ofrecido ser mis ayudantes. Es un papel fundamental, y no se suele reconocer su importancia. En particular, me han ayudado, Ricky, Javier I. Javier H. y Javier de la Brigada Ensaimada que estaba en los momentos críticos del fly-off. Emilio me ha empujado a tomar riesgos (que nunca hubiera tomado el)! Tenéis parte de la responsabilidad de la victoria, y toda la responsabilidad de hacerme buena compañía. Gracias a todos! Y, hasta la próxima!

  7. Avatar de Francisco Hernández
    Francisco Hernández
    6 octubre, 2011 a las 2:57 pm

    Enhorabuena a los ganadores y enhorabuena a los organizadores: habéis hecho historia ya que se trata de los comienzos de una nueva modalidad de concursos para veleros rc apoyada en unas nuevas tecnologías que habéis sabido domesticar.
    Gracias al artículo de Javier los que no hemos podido acudir al evento nos hemos hecho cargo de lo sucedido.
    Enhorabuena y a por más…
    Paco

  1. No trackbacks yet.

Deja un comentario