Archivo
Noticias Mayo-Junio 2010
|
Campeonato Nacional F5J Open K4 y K6 en el Club SAF-15 (Alicante) el 5 y 6 de Junio: Escushando la brisa del mar 6-06-2010Crónica sobre el Open Nacional F5J K4 y K6 en el SAF-15 |
2º Concurso de Altímetro FXJ: Alas de la Sierra 31-05-2010Crónica de Juan Ramos sobre el segundo concurso de FXJ que se organiza en la FAM. Además de narrador, brillante ganador del concurso. |
|
Entrevista con Joan Pérez: La Liga Catalana de F5J 30-05-2010Cómo se vive una liga para que el resultado sea competitivo y al mismo tiempo haga cantera de nuevos pilotos. |
|
![]() |
Entrevista al reciente Campeón de España F5J “Nacional” de este año 2010: Luis Manuel Gonzalez 27-05-2010Entrevista con muchos detalles sobre su reciente victoria y su manera de ver el aeromdelismo y el F5J. |
Ya hay 30 inscritos en el Campeonato de España F5J Open K4 y K6 – 13 de Junio de 2010 – Villamanta (Madrid) 27-05-2010Muchos inscritos y mucha ilusión en la organización de este evento del año. Reservad vuestros alojamientos antes de que se acaben las habitaciones disponibles. |
|
|
Open Primavera Club RC Sevilla F5J 200m por Luis Manuel Gonzalez 27-05-2010Luis Manuel nos ofrece su visión sobre el primer concurso “de Altimetro” organizado en su club. |
![]() |
Campeonato de España de F5J “Nacional” en Bollullos de la Mitación (Sevilla) por Luis Manuel Gonzalez27-05-2010El tan ansiado Campeonato de España cumplió todas las expectativas a pesar de las condiciones atmosféricas. Narrado brevemente por el Campeón de España de la modalidad. |
|
Concurso X5J Extreme: 22 de Mayo 2010 23-05-2010Se realizó el concurso de Mayo del X5J Extreme. Robert Burson ha creado esta entretenida modalidad. |
![]() |
Las Crónicas de Juan Ramos (II): El número de Reynolds. 21-05-2010Nuevo artículo de divulgación que nos ofrece D. Juan Ramos. Tan importante es saber como transmitirlo bien. |
Liga Catalana y Campeonato de Cataluña de F5J en Manresa. 15-05-2010La semana pasada se celebró la Tercera Prueba de la Liga Catalana y Campeonato de Cataluña de F5J. |
|
El Aeromaster de Aeronaut. Por Fernando Gordon. 15-05-2010Fernando describe su nuevo modelo, algo pesado para el F5J pero que recupera la esencia de los planeadores ARC. |
|
|
Ya hay 22 inscritos en el Campeonato de España F5J Open K4 y K6 – 13 de Junio de 2010 – Villamanta (Madrid) 14-05-2010Aun estás a tiempo de apuntarte. |
![]() |
¿Qué es la Polar de un Perfil? Por Juan Ramos. 13-05-2010Artículo técnico de divulgación que nos trae Juan Ramos. Podrás descubrir por los parámetros que influyen en la velocidad de pérdida, la mínima velocidad de bajada y otras. |
Campeonato Nacional F5J Open K4 y K6 en el Club SAF-15 (Alicante) el 5 y 6 de Junio10-05-2010El Club SAF-15 de Alicante albergará uno de los concursos F5J Open K4 y K6. Se volará en Las Salinas, un lugar de ensueño. |
|
¿Qué es el F5J? 4-05-2010Mucho se habla estos días de las discusiones en la FAI para crear dos clases que representen el vuelo térmico eléctrico con Limitación de Energía y Altura. |
2º Concurso de Altímetro FXJ: Alas de la Sierra
Hola a todos, Juan Ramos nos trae la crónica del concurso de ayer en el Club Alas de la Sierra. Además le damos la enhorabuena a Juan Ramos por su victoria en un día climatológicamente complicado. Aunque el número de participantes ha sido algo escaso (9) para lo que estamos acostumbrados en otras ligas, la calidad de los allí presentes era mucha. También destacar que había 5 participantes del propio club y eso siempre es una dificultad mayor por conocer perfectamente su campo y donde se suelen situar las ascendencias y descendencias. Le cedemos la palabra a Juan:
Hola:
El Club Alas de la Sierra de Guadarrama ha organizado el concurso de altímetros que había sido postpuesto por adversas condiciones meteorológicas. Hoy ha hecho un buen día y se ha podido celebrar.
De los 11 inscritos, sólo han participado 9, uno de los que no ha podido participar ha sido Alfonso Navarro, con un esguince que le tiene escayolado y Francesco Belisario tuvo algún problema de salud también.
Los 9 participantes hemos volado en dos minimangas y hemos hecho un total de 5 vuelos. Los 2 primeros han sido con abundantes térmicas y alguna descendencia, siendo relativamente fácil llegar a los 10 minutos. Los 3 últimos vuelos han sido con viento y con bastantes dificultades para mantenerse, los vuelos no han llegado a los 10 minutos.
Ha habido 2 "refly". Un refly debido a que el altímetro de Ángel Cristóbal cortó a 300 m, y otro refly porque al final del vuelo (teniendo los 1000 puntos casi asegurados), el altímetro de Juanjo Almazán falló (se le puso en marcha el motor). Adjunto la clasificación y las gráficas de mi altímetro. En la clasificación puede verse que 7 de los 9 participantes han conseguido en alguna ocasión 1000 puntos. Detalle del segundo vuelo:
El material es de lo más variado, Astra, Elegant, Tango, Supra, Vision, modelos personales y lo que más, 4 Pulsar. Con viento, los Supra y Visión han estado un poquito mejor que los demás.
Las baterías parece que van camino de ser lo más pequeñas posibles, alguna LiPo 3S de 1050 mAh consumiendo 30 A, y subiendo el modelo con solvencia. Con tiempo en calma, para qué baterías grandes y pesadas si subes igual a 200 metros y una vez arriba tienes menos peso (carga alar). Con viento ya es otra cosa, pequeñas cargas alares tal vez no sea la mejor opción.
Saludos, Juan.
Entrevista con Joan Perez: La Liga Catalana de F5J
Joan Pérez es el responsable de la Liga Catalana de F5J. Además de organizador es uno de los pilotos que están arriba en el ranking. Como piloto y organizador experimentado, ha colaborado con nosotros para que conozcamos en detalle los comienzos y las pautas que han seguido en esta liga para situarse como una referencia dentro del mundo F5J.
Hola Joan, te agradecemos este tiempo que dedicas a hablar con nosotros. Como responsable del f5j catalan seguramente eres la mejor persona para explicar los detalles de la liga. La liga catalana de f5j es de las decanas en Espana, podrías contarnos cuándo comenzo su andadura y cómo fueron esos comienzos.
[Joan Pérez – JP]Yo fui invitado un día hace ya unos años a la copa Angueras de veleros eléctricos por mi buen amigo Juan Manuel Garrido el cual ya participaba con muy buenos resultados y se había enterado que me acababa de comprar un velero. Ahí fue donde participé en la primera prueba de la llamada entonces F5Bb, allí conocí a Paco Cepeda y Angel Cristobal, también a algún piloto de Valencia y fue donde di mi primer paso.
Después Juan Manuel y yo fuimos a conocer lo que se hacía en Valencia, la Copa Segrelles y allí conocimos a más gente muy involucrada con este tipo de pruebas, Josele, Jorge, Gregorio… y volví a ver (hacia tiempo no veía) a los componentes del equipo de Sevilla; Coronilla, Bigotes, Juan Fran. etc…
Viendo el magnífico ambiente que los rodeaba nos animó a empezar a pensar que debíamos hacer alguna cosa para atraer a pilotos de Cataluña que le interesara la fórmula. Juan Manuel y yo hicimos una labor de divulgación de la formula extraordinaria.
Al dia de hoy el éxito es evidente pero cuantas pruebas habeis celebrado y que participacion media teneis?
[JP] Estamos acabando lo que es ya la sexta Liga Catalana de la fórmula. La participación media rondará los 15 participantes, hemos tenido puntas de 23, pero también alguna vez hemos sido solo 13, hablo de lo actual, puesto que cuando comenzamos el día que estábamos 12 éramos muy felices. Nadie sabe lo que cuesta levar a la gente al campo a competir!!.
¿Como habeis conseguido fomentar el deporte a la vez que habeis tenido grandes deportistas?
[JP] Lo primero que hemos hecho es generar un grupo de amigos los cuales miden sus fuerzas para ganar una prueba, pero sobre todo ganamos un trofeo sin que el que pierde piense que ha perdido. Creo que todo el mundo me entiende.
En nuestra liga lo primero y principal es el fomento de la amistad, no cabe duda de que el carácter competitivo de la gente hace que nos superemos, pero en serio lo que prima es el buen ambiente que fomenta nuestra prueba. Nadie se queda sin volar en nuestras pruebas porque se ha quedado sin batería, sin un servo, porque rompe…..SIEMPRE HAY UNA MANO O MIL MANOS para que esa persona siga volando, a pesar de que nos pueda ganar. Sinceramente sin este grado de amistad entre todos los componente de la liga igual no habríamos conseguido estar ahí.
¿Que aspectos destacarías del reglamento que aplicais?
[JP] Quisiera decir para comenzar que desde que me propuse, bueno, nos propusimos vuelvo a mencionar a mi amigo Juan M.Garrido. Hacer la Liga Catalana de F5J la idea que nos empujaba desde el principio fue siempre hacer un reglamento común a nivel estatal, porque quiero hacer resaltar que en Cataluña no existía ningún reglamento, en cada club alguien volaba algo parecido pero no había un reglamento unificado. Angueras para su copa tenía el suyo, muy parecido a lo que se venía haciendo por el resto de España.
Por lo cual, tuvimos que ponernos la pilas para mientras aprendíamos año a año íbamos incluyendo cosas nuevas que en otras comunidades ya tenia aceptadas. Por ejemplo la utilización de la reductora, el cambio de baterías a 1/3 del SubC, los brussless… en fin mucho trabajo de dialogo y convencer de lo que era importante y bueno para la formula.
Cuidamos mucho los cambios en las normativas para no dejar a los que comienzan en una meta inalcanzable. Y eso es muy cierto, si la normativa la hubiésemos evolucionado a la misma velocidad que los aviones, sería muy difícil decirle a alguien ven a volar con nosotros a pesar de que para los que ya son expertos en algún momento le sea algo aburrido y a pesar de que algún novato haya machacado a un experto solo por "una suerte"
Y una cosa muy importante fue la constitución de una pequeña comisión que vigilará los intereses de la formula y consensuara todo lo relacionado con nuestra Lliga. Dejábamos así en manos de varios lo que hasta en ese momento llevaba solo yo.
Tengo entendido que vuestra liga es muy economica para quien empieza pero tambien para los expertos. ¿Cual es el coste minimo de un modelo para participar? ¿Y la media?
[JP] Está pregunta es difícil de contestar, ¿qué es económico y que no lo es? porque claro ¿dónde nos comparamos?
La competición, nunca es barata porque exige siempre tener material de primera y eso barato barato no lo es. Y a mí siempre me gusta ser sincero. ¿Para que engañar a la gente? En el mercado existen aviones que con apenas una semana los montas y ya puedes volar. También hay muchas otras opciones en el tema de la autoconstrucción, esencia del aeromodelismo. Con información sobrada sobre como hacerlo, Manolo alias Doctor Carbono nos ha enseñado como hacer, solo es ponerse. Luis Grau, miembro de la liga también, construye piezas especiales y las vende a un precio razonable para que aquellos que quieren hacerse algo bueno y no tienen medios para piezas especiales puedan construirse algo.
Los servos, las baterias motores etc….¡todos llevamos lo mismo!
Resumiendo, Barato no es..¡Caro tampoco! hablamos de competir.
Para organizar una prueba, ¿que material es el minimo necesario para el club organizador?
[JP] Para no depender de nada en temas organizativos hace ya unos años organizamos lo siguiente. Tenemos una maleta muy grande en donde pusimos todo lo necesario para organizar una prueba de F5J, desde bolígrafos, cronómetros, dorsales…. hasta una impresora y una megafonía.
¿que ponen los clubs organizadores?, básicamente una toma de corriente, un ordenador, ¡no imprescindible! y los jueces.
Esta maleta cuando termina la prueba la recoge el club organizador de la siguiente prueba y va rotando entre los clubes. Es propiedad de todos.
Normalmente nos organizan un desayuno antes de empezar para tomar aire y eso es todo. La inscripción a cada prueba cuesta 12 euros y con ello el club organizador prácticamente paga los gastos.
Visto lo apretado de la liga, ¿quienes son los deportistas que más posibilidades tienen de ganar este año?
[JP] Nuestra liga se compone actualmente de cuatro pruebas, las cuales se disputan en diferentes clubes. De las cuatro pruebas nos descartamos siempre de la peor.
Una de las pruebas de la Liga es también Campeonato autonómico.
Este año la prueba del autonómico ha estado ganada por Miquel Baldí, segundo fui yo y el tercer clasificado Lluis López.
La clasificación final de la liga 2010 está muy disputada, no quiero adelantar acontecimientos, pero Luis Lopez está muy cerca de ganarla, sin perder de vista a Miquel Baldí, Juan Carlos Navea no se ha presentado a todas las pruebas este año, de haberlo hecho estaría metido en la "pomada" también.
Veremos….la semana que viene te lo cuento. Prometo enviarte un resumen de la liga así como sus resultados.
¿Hay alguna pregunta que no hayamos hecho y que quieras comentar?
[JP] No, más o menos te he resumido lo acontecido durante todos estos años, quizás me queda solo hacer un capítulo de agradecimientos.
Agradecer a Juan Manuel Garrido su ayuda prestada en los comienzos.
A los miembros de la comisión actual de F5J.
A los clubes que organizan pruebas tan desinteresadamente.
A los Pilotos de F5J, todos son buenos e importantes.
A los jueces que cada domingo nos apoyan y nos cronometran, sin ellos no podríamos hacerlo. Y lo más importante ¡LO HACEN GRATIS!
Me gustaría hacerle una mención especial al Doctor Carbono, el llegó de forma casual a nuestra formula, pero nadie puede negar actualmente en España que hay un antes y un después en la F5J debido a su aportación.
Quizás me dejo cosas, pero tampoco era cuestión de hacer un libro!!
Muchas gracias Joan por tu tiempo y por esa visión sencilla y honrada sobre vuestra liga. Nos has dejado ansiosos por conocer lo que suceda el domingo que viene. Suerte a todos los pilotos!!!!
Ya hay 30 inscritos en el Campeonato de España F5J Open K4 y K6 – 13 de Junio de 2010 – Villamanta (Madrid)
Si quereis ver la información más reciente solo teneis que visitar la web del evento:
http://www.aereamadrid.com/clubalad3/
Ya hay inscritos de diversas comunidades: Asturias, Valencia, Andalucia, etc.
No perdais la oportunidad de apuntaros al evento.
Saludos, Javier.
Entrevista al reciente Campeón de España F5J “Nacional” de este año 2010: Luis Manuel Gonzalez
Queridos aeromodelistas, tenemos la enorme suerte de poder contar con las palabras del reciente Campeón de España de F5J fórmula “Nacional”. Muy amablemente nos ha contestado a las preguntas que le hemos formulado y quiero destacar también su honestidad y afán de difundir sus conocimientos en aras del fomento de nuestro deporte. Por favor, no olvideis revisar la respuesta a la tercera pregunta: UNA LECCIÓN sobre cómo coger térmicas.
Hola Luis Manuel, te agradecemos enormemente tu deferencia por contestar nuestras preguntas. Lo primero de todo darte una efusiva enhorabuena por ese primer puesto en el Campeonato de España F5J celebrado el Fin de semana pasado en Bollullos de la Mitación (Sevilla). Sabiamos de tu victoria en Abril de 2010 en el Campeonato de Andalucía y Open Nacional F5J pero el Campeonato de España de F5J confirma ese gran puesto de Abril y una racha de victorias importante en la especialidad. ¿cual ha sido tu visión sobre estas victorias?
[Luis Manuel González- LMG] Muchas gracias. Una conclusión de estas victorias, para mi, es la confirmación de los buenos resultados que la regularidad aporta, si además esta regularidad coincide con buenos vuelos … tienes mucho concurso ‘ganado’. Por otra parte, el entrenamiento también cuenta, te puedo asegurar que muy pocos deportistas (por no decir ninguno) ganan un Campeonato sin entrenar, y por circunstancias, este año lo estoy haciendo.
¿Quienes han sido los competidores más duros en este Campeonato?
[LMG] Bueno, en éste y en todos los Campeonatos de esta especialidad (F5J-Fórmula Nacional) el competidor mas duro que tienes en la pista eres tú mismo. Aunque a este nivel, todos son duros, esa liga Catalana impone mucho, y hay muchos y muy buenos pilotos … que sí, que me mojo … lo que pasa que la lista es larga y como es muy dificil, por lo menos para mi, ordenar el nivel de estos posibles Campeones, te los menciono por orden alfabetico … Miquel Baldi, Antonio Coronilla, Lluis Lopez, Pedro Millan, Francesc Mora, Jose A. Orviz y Pedro Perez sin olvidar a Daniel Garcia, Juan Perez, Joan Pontnou ni al resto de los participantes …
Me gusta ‘jugar’ con los datos de los concursos para intentar sacar conclusiones, por primera vez, he cogido los vuelos de los ocho primeros clasificados y los he puesto en una sola mini-manga para cada vuelo, por curiosidad de ver como hubiera quedado la clasificación …. super-sorpresa … sólo cambia la clasificación del cuarto y el quinto, entre ellos, aunque si bajan significativamente los puntos.
Las condiciones meteorológicas han sido muy difíciles esta vez. ¿Podrías resaltar algún punto de la estrategia que has usado en el Campeonato?
[LMG] Ufff … muy dificiles sí, aún así, 50 de los 125 vuelos puntuados del concurso, superaron los 415 puntos (sólo por el vuelo, sin la toma), eso confirma el alto nivel de los competidores y la buena técnica de los mismos. En cuanto a mi forma de vuelo … no dar NUNCA la cola al aire, sobre todo cuando éste es de cierto nivel. Mis cinco primeros vuelos no fueron malos, pero el sexto presagiaba desastre, en la subida, el motor se paró antes de los 20 segundos, cuando tenía que haber funcionado, por lo menos, hasta el segundo 40. Cuando tenía que haber subido a una cota aproximada de 250 metros, me quedé a unos 100. Decisión rápida … avanzar hasta conseguir algo, dos modelos habian conseguido mucha altura y parecia que subian, uno a mi izquierda y otro a mi derecha (estas información me la dió Pedro Perez), por la dirección del viento me decidí por la izquierda y avancé a
unos 30º de la dirección de éste, al poco, ‘ascendencia’ pero no la giré, encaré el modelo al aire y segui enfrentandome a él mientras subia, cuando esto cesó, nueva dirección de avance a otros 30<>40º hasta encontrar una segunda ascendencia y misma estrategia anterior (encarar mientras subia). Cuando dejó de subir, la distancia al modelo ya era respetable y la altura ya era mas cercana a los 200 m, el tiempo tb había transcurrido, posiblemente habia llegado a pasar los tres minutos. Si no sube … 30<>40º a la izquierda de la dirección del aire y avanzar … nueva ascendencia y esta para no perderla, comenzé a girarla (no recuerdo si a derecha o a izquierda) y … para arriba, A los cuatro minutos estaba volando con todo el freno fuera (butterfly), ya la altura era peligrosa (por mi vista y por el tiempo). A los cinco, primera bajada pronunciada, a buen nivel para esperar el minuto 6. En ese momento, nueva bajada pronunciada pero hasta sufiente altura como para que una descendencia no me arruinara el vuelo tan trabajado. Volaba a unos 50<>60 metros esperando que quedaran 20 segundos (6:40). En ese momento … al centro, haciendo un giro de 270º sin perder velocidad, para mantener el control, tanto a favor como frente al aire y … 7′ 00" a menos de un 1m del centro. Por fin respiraba, ya estaba morado, jajajajaja.
En el resto de los vuelos las subidas fueron superiores y con solo ‘mantenerla’ era suficiente, misma forma forma de vuelo, pero mucho más relajado (bueno, tampoco mucho).
¿Nos podrias describir muy brevemente el modelo que has empleado este año?
[LMG] Esto lo voy a tener un poco más díficil, lo intentaré. Es un ‘todo madera’, pensado, diseñado y fabricado por Antonio Coronilla (gracias Corona), bueno el fuse es posible que lo hiciera Paqui, nuestra Juez Principal y Cronometradora infatigable. Fué un prototipo diseñado para usar los perfiles AG’s, una envergadura de aprox. 224 cm, una longitud de 106 cm, pesa unos 515 gr. Su cuerda máxima es de 19 cm, la mínima 8,5 cm y la superficie alar ronda los 40 dm2 por lo que la carga alar se acerca a los 13 gr/dm2. No creo que Antonio Coronilla tenga inconveniente en proporcionar todos los datos del modelo, como suele hacerlo de todas sus joyas.
He volado con una 14×9 (aero-naut CAMCarbon), un cono de 30, la reductora una VMGM 6:1, el motor un RAZOR-2500 de 3580Kv, el regulador un THUNDERBIRD 18 (Castle Creations) y la bateria una L-tronic (Desire Power V6) 860 mAh 7,4V 2S1P 25/50C y los servos D60 en alerones y Flaps y D44 en profundidad.
Si tuvieras que poner en una balanza el modelo y la destreza del piloto, ¿cual sería el peso que le darías a cada uno dentro de este Campeonato de España de F5J?
[LMG] En este Campeonato y sobre todo en esta especialidad, el modelo pesa mucho, no literalmente, pero sí al hablar de influencia en la clasificación. En ésta modalidad puedes ‘inscribir’ dos modelos o partes de ellos. Yo particularmente me inclino por un 60 / 40 dándole mayor relevancia al modelo. ¿Porqué me inclino por esa proporción?, porque he visto que buenos pilotos con buenos modelos han conseguido buenas marcas y estos mismos pilotos con ‘problemas’ en el modelo han visto mermados muy mucho sus resultados. Cuando hablo de modelo no sólo me refiero al avión en sí (aunque sea la parte a la que mayor peso le doy), sino al conjunto completo, hélice, reductora, motor, regulador, etc.
Sabemos que también practicas otras modalidades de F5J. Mi pregunta sería: ¿por qué un deportista de élite como tú, también dedica parte de sus esfuerzos a otras modalidades? ¿no le resta eso tiempo de su preparación?
[LMG] Me encanta la competición, me encanta el aeromodelismo y me fascinan los veleros, aunque ya, por mi edad, sean ‘motorizados’. He sido, soy y seré un apasionado de la F3B, la considero la modalidad reina. El diversificar mis esfuerzos en diferentes modalidades es por dos razones, puedo disfrutar de diferentes ‘formas’ de vuelos, lentos, rápidos, semimaquetas, combinados … y además … participo en más competiciones. Su parte menos buena, la que tú mencionas, unas restan tiempo de preparación a las otras, pero … no se puede tener todo, jejeje
¿Cuales son los puntos que más te atraen del F5J "Nacional" frente a otras modalidades?
[LMG] Primero la parte técnica, aunque a algunos le pueda parecer la más fácil y sencilla yo pienso que es la más compleja y dificil y la que mejor complementa al aeromodelista, y al decir aeromodelista, no me refiero a todo aquel que vuela aeromodelos, sino a aquel que lo ve como un ‘deporte-ciencia’.
Segundo por su relativamente fácil práctica, casi cualquier aeromodelista puede meterse en la especialidad y con entrenamiento y ganas, llegar a los primeros puestos. Para el que no puede o no quiere ‘fabricarse’ el modelo existen comerciales dignos o ‘segundas manos’ con buenas prestaciones.
Tercero, porque no implica, si no quieres, grandes costes, en ninguno de los componentes, incluido el aeromodelo.
Cuarto … porque es nuestra, creada, mantenida, perfeccionada, tecnificada, por nosotros, los deportistas españoles que la practicamos.
¿Quieres comentar algo más que no te hayamos preguntado?
[LMG] Pues sí, me gustaria resaltar y agradecer la labor de los organizadores, de los jueces y de todos aquellos que hacen posible que se convoque y realice un campeonato. En muchos casos, los deportistas nos creemos los protagonistas de los campeonatos y nos olvidamos de los que hicieron posible que estemos compitiendo.
Muchas gracias Luis Manuel por tus respuestas.
[LMG] Gracias a ti Javier por tu tiempo.
Open Primavera Club RC Sevilla F5J 200m por Luis Manuel Gonzalez
Luis Manuel nos envía una breve pero jugosa crónica sobre su primer concurso F5J 200m. El primero que realizan en el Club RC Sevilla pero que seguro no será el último. Las condiciones meteorológicas no fueron muy buenas y costaba “dominar” el modelo. Los vuelos muy cortos por este motivo. Solamente 4 de ellos llegaron a los 10 minutos.
“Sábado por la tarde en Sevilla, casi a "cuarenta de mayo", la temperatura … mas alta que el límite de salida de los veleros. De los doce inscritos nos fallaron cinco, una gran pena en estos momentos de expansión de la fórmula.
Siete competidores, de ellos, 3 enfrentandose a la prueba con modelos de F5J – Formula Nacional (Pedro, Luis y Joan), Jose Enrique con un modelo experimental (que bautizamos como "Botello"), Jorge con un comercial de ‘Topmodel’, un pelin pesado, pero que dió guerra. Antonio, con otro comercial (‘Pulsar 3600’) viene fuerte a la fórmula y Jose A. con uno de fabricación propia para la fórmula no tuvo su mejor dia. Pedro nos dió una clase de como encontrar y seguir una térmica dificil.
Hicimos cuatro mangas y se descartó la peor.
De todas formas, el dia no era el mas de agradecer para con esta fórmula, temperatura elevada, viento fuerte (15<>20KM con rachas superiores).
La clasificación:
| Clsf. | Nombre | Resultado FINAL |
| 1 | PEDRO MILLAN | 2877,6 |
| 2 | ANTONIO PEREIRA | 2565,5 |
| 3 | JORGUE PEREZ | 2268,6 |
| 4 | LUIS MANUEL GONZALEZ | 2109,4 |
| 5 | JOSE E. PALACIOS | 2009,9 |
| 6 | JOSE A. ORVIZ | 2008,5 |
| 7 | JOAN PEREZ | 1765,0 |
Saludos, Luis Manuel”
Campeonato de España de F5J “Nacional” en Bollullos de la Mitación (Sevilla) por Luis Manuel Gonzalez
Queridos amigos en esta ocasión contamos con la narración de lujo del actual Campeón de España de la especialidad. Por las clasificaciones y las fotos vereis que son modelos espectaculares por diseño y construcción. Sin olvidar que Miquel Baldí y Joan Perez vienen del podio del concurso celebrado en Cataluña hace unas semanas. Mucho nivel en el concurso. Gracias Luis Manuel por tu información y comentarios.
“Un Campeonato de España ‘caluroso’, de temperatura, cordialidad y competencia, con muchos nervios y, sin ser surpersticiosos, con la intervención de la suerte/desgracia en ocasiones. Una inscripción bastante respetable … 23 deportistas, de distintas autonomias (Asturias, Cataluña, Valencia y Andalucia). Ausencias relevantes y sentidas.
Temperaturas desde 17 a casi 30º a lo largo de concurso y vientos desde 7 hasta 15 Km/h. Un dia extraño en cuanto a meteorologia, dificil de volar, ‘las manos’ no dejaron de trabajar un sólo momento. Sorpresas en las clasificaciones. Materiales increibles. Es una especialidad de aeromodelismo para aeromodelistas.
El podio: Luis M González (1), Pedro J. Pérez Rubio (2) y Miquel Baldí Coll (3).
La clasificación completa aquí:
Saludos Luis M.”
Los resultados del X5J extreme
Ya han llegado los resultados. Para ser novatos no se hizo nada mal:
Enhorabuena Julio.
X5J Unlimited and EL
1. 1814 Forest Flyer (EL)
2. 1795EL Kenny Sharp
3. 1764 Dingo II
4. 1734 Julio Contreras 1.734
5. 1716 Eric Soar
6. 1689 tone
7. 1651 Nick Sharp
8. 1621 Eduardo Del villar 1.621
9. 1542 Paco Hernandez 1.542
10. 1536 Javier Iglesias 1.536
11. 1433 Sergio Martinez 1.433
12. 1413 Aristides Fernandez1.413
13. 1388 Ramon Rizo 1.388
14. 1226 Fernando Gordon 1.226
X5J America and EL
1. 1752EL Rburson
De paso también un video desde mi modelo:
Saludos, Javier.
Concurso X5J Extreme: 22 de Mayo 2010
Hola, este domingo hemos volado el X5J Extreme. Se trata de un concurso postal pero que también invita a la práctica con amigos. El Club Tres Cantos nos ha recibido con los brazos abiertos y hemos disfrutado de lo lindo. Enhorabuena para Julio porque “nos ha dado un repaso importante” al alzarse como ganador.
Un ganador merecido y su modelo:
Concentración máxima bajo un sol de justicia:
La clasificación del concurso en España ha sido:
Los detalles de los vuelos han sido:
Hubo todo lo que habia que haber.
Saludos, Javier.
Las Crónicas de Juan Ramos (II): El número de Reynolds
Queridos amigos, hoy D. Juan Ramos nos trae su segundo artículo de divulgación técnica. Os aconsejo que leais con detenimiento. Aprendereis mucho con sus crónicas. Entre otras cosas descubrireis la aplicación del refrán “Burro Grande …” al aeromodelismo. Gracias Juan.
Número de Reynolds
No siempre se ha conocido el efecto que la densidad y la viscosidad del aire tiene sobre el comportamiento de los cuerpos en el aire. No son similares las fuerzas que actúan sobre las alas de un modelo de 2 metros de envergadura que las que actúan sobre las alas de un velero de 18 metros de envergadura.
Osborne Reynolds descubrió y enunció, allá por el año 1883 que este factor de escala podía cuantificarse mediante una ecuación, desde entonces creo que se dice aquello de “burro grande ande o no ande”. El número de Reynolds.
Esta ecuación es:
Siendo : ρ densidad del aire = 0,125 kg. s2/m4
μ viscosidad del aire = 1,82·10-6 Kg s/m2
v velocidad del aire en m/s
L longitud característica en metros (en nuestro caso la cuerda del ala)
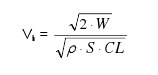
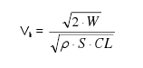
A nuestros efectos puede simplificarse mediante la fórmula:
Re = 68.681,32 ּ v ּ L
68.500 ּ v ּ L
Siendo: v la velocidad del aire en metros/segundo
L la cuerda del ala en metros
Para que nos demos cuenta de la influencia que tiene el número de Reynolds (Re), hagamos unos cálculos simplificados con la polar del perfil AG40d (el perfil del SUPRA en el encastre) a varios Re.
En el cuadro siguiente anotamos directamente la información de Cl y Cd de la polar en los puntos de máxima fineza (puntos rojos en la polar) y hacemos unos pequeños cálculos, suponiendo una carga alar de 25 gr/dm2, sabiendo que no tenemos en cuenta las resistencias parásitas e inducidas del ala, también suponemos que el ala sería de cuerda constante y que el fuselaje, el estabilizador y el timón son ideales (estas idealizaciones facilitan los cálculos y nos ayudan a observar las diferencias teóricas). La velocidad horizontal y la de descenso son:
|
Cl máx fineza |
Cd máx fineza |
Fineza |
Cl3/2/Cd |
Vh horizontal |
Vv descenso con fineza máx |
Cuerda asociada (cm) |
|
|
30.000 |
0,90 |
0,046 |
19,6 |
18,6 |
6,00 |
0,34 |
7,3 |
|
50.000 |
0,82 |
0,026 |
31,5 |
28,6 |
5,73 |
0,22 |
12,7 |
|
70.000 |
0,82 |
0,020 |
41,0 |
37,1 |
5,73 |
0,17 |
17,8 |
|
100.000 |
0,84 |
0,017 |
49,4 |
45,3 |
5,80 |
0,14 |
25,1 |
|
130.000 |
0,81 |
0,015 |
54,0 |
48,6 |
5,69 |
0,13 |
33,3 |
|
200.000 |
0,80 |
0,012 |
66,7 |
59,6 |
5,66 |
0,11 |
51,4 |
|
500.000 |
0,75 |
0,008 |
93,8 |
81,2 |
5,48 |
0,08 |
132,8 |
Polar obtenida de Profili2 http://www.profili2.com
A mayor número de Re, mejores son las prestaciones del perfil, varían tanto que en algunos de los perfiles más empleados se ha fijado el Re crítico, por debajo del cual, no es utilizable el perfil. En concreto, para este perfil a Re=30.000 tiene unas prestaciones muy pobres.
Del cuadro observamos que con un Re=100.000 la cuerda ideal sería de 25 cm conseguiríamos una fineza teórica de 49 (avanzaríamos 49 metros por cada metro de altura) y la velocidad teórica de descenso sería de 0,17 m/s (en la práctica, sumando resistencias inducidas y parásitas del ala, fuselaje, estabilizador y timón sería de más del doble). Para Re=30.000 la cuerda ideal sería de 7,3 centímetros, pero la fineza ha caído a 19 y la velocidad de descenso sería el doble que a Re=100.000. El tamaño importa.
Deducimos que nos interesa alcanzar el mayor Re posible, bien sea aumentando la cuerda o aumentando la velocidad, pero como en tantas ocasiones en aerodinámica, hay que encontrar el compromiso entre estos factores.
Aumentar mucho la cuerda supone disminuir el alargamiento, lo que incrementa la resistencia inducida, aumentar la velocidad también supone incrementar la velocidad de descenso, así que diseñaremos conjugando la mayor cuerda posible, el mayor alargamiento posible y la menor velocidad de descenso posible, ahí está una dificultad.
Todo esto para una carga alar fija de 25 gr/dm2, si aumentamos la carga alar conseguiríamos incrementar la velocidad horizontal y la vertical y disminuir la cuerda, la fineza se mantendría igual. Y viceversa, disminuyendo la carga alar disminuimos las velocidades y nos obligaría a aumentar la cuerda, o manteniendo la cuerda no disminuiríamos tanto la velocidad horizontal ni la vertical.
Todos estos cálculos teóricos asumen importantes simplificaciones, pero nos permiten tomar conciencia del significado y efecto del número de Reynolds en nuestros modelos, tanto desde el punto de vista cualitativo como cuantitativo.










